April & May 2010 Magazine

 

This Page offers a colour selection from the April & May 2010 Edition of the village magazine "Village Voice".

 

Copies of the full magazine are available in the Village Store and Fruit Farm - however only HERE can you read it is GLORIOUS Technicolor !

 


Click on the Page Titles below to open a new window in Glorious Technicolor !

You may wish to click again on the image to ZOOM in - for larger font.


 

 

 

Village Voice Magazine Page Title

Front Page
Contents
Dates for Diary 1
Dates for Diary 2
Rectors Reflections 1
All Saints Who's Who
Methodist Church
Home Cooking
Youth Club
Letter to the Residents 1
Letter to the Residents 2
Letter to the Residents 3
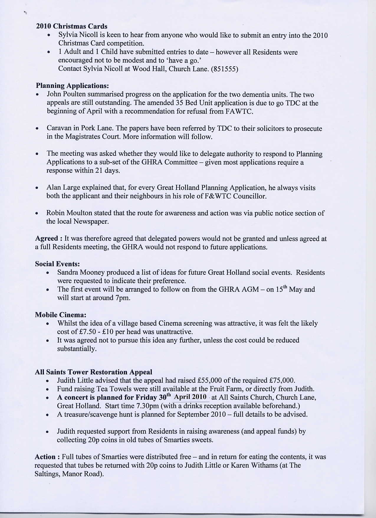
GHRA Minutes 1
GHRA Minutes 2
GHRA Minutes 3
GHRA Minutes 4
Beetle Drive
Craft & Gift Fayre
GH Friends
What's on in the Village Hall
Website 1
Website 2
Garden Reflections
PCSO Update
PCSO Picture
Pits Nature Reserve
Pits Nature Reserve 2
Adverts